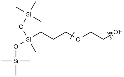
英文名稱:Poly(oxy-1,2-ethanediyl),a-[3-[1,3,3,3-tetramethyl-1-[(trimethylsilyl)oxy]-1-disiloxanyl]propyl]-w-hydroxy-
分子式:
分子量:
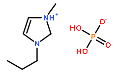
英文名稱:1H-Imidazolium, 1-methyl-3-propyl-, phosphate (1:1)
分子式:C7H17N2O4P
分子量:224.20
英文名稱:4-((4-hydroxyphenyl)(phenyl)amino)benzaldehyde
分子式:C19H15NO2
分子量:289.33
英文名稱:(7E,9Z)-7,9-Dodecadien-1-ol, 1-Acetate (~80%)
分子式:C14H24O2
分子量:224.34